当前位置:网站首页>MPC_ ORCA
MPC_ ORCA
2022-07-27 16:39:00 【An audience who doesn't understand music】
List of articles
2 Problem description
2.1 Set up the mobile robot
In this work , The robot consists of a plane { x 0 , y 0 } \{x_0,y_0\} { x0,y0} The radius of movement in is λ ∈ R \lambda \in \mathbb{R} λ∈R A circular entity that represents , And in the global coordinate system of the origin F 0 = { O 0 , x 0 , y 0 , z 0 } \mathcal{F}_0 = \{O_0,x_0,y_0,z_0\} F0={ O0,x0,y0,z0} In the definition of . set up F R = { O R , x R , y R } \mathcal{F}_R = \{O_R,x_R,y_R\} FR={ OR,xR,yR} Is the coordinate system of the robot , Come of O R O_R OR, In global coordinates, it can be expressed as O R = ( p x 0 , p y 0 ) O_R =(p_{x0},p_{y0}) OR=(px0,py0), namely p x 0 , p y 0 ∈ R p_{x0},p_{y0} \in \mathbb{R} px0,py0∈R, Pictured 2.1 Shown . Global coordinates F 0 \mathcal{F}_0 F0 And robot coordinate system F R F_R FR The angle of rotation between θ z 0 ∈ S 1 θ_{z0}∈\mathbb{S}^1 θz0∈S1. Therefore, in the global coordinate system, the structure of the robot can be described as q = [ p x 0 p y 0 θ z 0 ] T ∈ Q ⊂ R 2 × S 1 q = [p_{x0} \quad p_{y0} \quad θ_{z0}]^T\in \mathbb{Q} \subset \mathbb{R}^2 \times \mathbb{S}^1 q=[px0py0θz0]T∈Q⊂R2×S1.
Rotation matrix R R 0 R^0_R RR0 Given the robot in the world coordinate system F 0 F_0 F0 And robot coordinate system F R F_R FR The directional relationship between , Thus, the points described in the robot coordinate system can be represented in the global coordinate system ( Or vector ). for example , The speed of the robot in its own coordinate system v R v^R vR The conversion of velocity to global coordinate system is 
among v 0 = [ v x 0 v y 0 ] T ∈ R 2 v^0 = [v_{x0} \quad v_{y_0}]^T \in \mathbb{R}^2 v0=[vx0vy0]T∈R2 Represents the speed of the robot in the global inertial system , among v x 0 = p ˙ x 0 ∈ R v_{x0} =\dot p_{x0} \in \mathbb{R} vx0=p˙x0∈R, v y 0 = p ˙ y 0 ∈ R v_{y0} =ṗ_{y0}\in \mathbb{R} vy0=p˙y0∈R Represent the robot in x 0 x_0 x0 Axis and y 0 y_0 y0 The speed on the axis .
2.1.1 Cinematic constraints of differential mobile robots
Differential mobile robots are subject to nonholonomic constraints ( Or cycle limit ), This limits the instantaneous motion , That is, the speed space allowed to be selected is limited . The motion of robot with differential wheel has two nonholonomic conditions :
- Cannot move laterally , namely v y R = 0 v_{y_R}=0 vyR=0
- The wheels are in close contact with the ground , stay x R x_R xR and y R y_R yR It won't slip on .
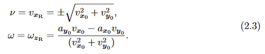
Under the above assumptions , You can get the linear velocity v 0 = v x R x R v_0 = v_{x_R}x_R v0=vxRxR, angular velocity ω 0 = ω z R z R ω_0=ω_{z_R}z_R ω0=ωzRzR, ω z R = θ ˙ z R = θ ˙ z 0 ω_{z_R}=\dot{θ}_{z_R}=\dot{θ}_{z_0} ωzR=θ˙zR=θ˙z0.
By applying the equation (2.1) These nonholonomic conditions in , The motion equation of the differential robot can be obtained . Consider the second-order component a x R = v ˙ x R a_{x_R}=\dot{v}_{x_R} axR=v˙xR and α z R = ω ˙ z R \alpha_{z_R}=\dot{ω}_{z_R} αzR=ω˙zR, Linear and rotational acceleration inputs related to force and torque respectively , So you get :
2.1.2 Apply input command
When receiving speed command , Some mobile robot interfaces are represented in polar coordinates rather than Cartesian coordinates . therefore , You can use the velocity vector in Cartesian coordinates v 0 = [ v x 0 v y 0 ] v^0=[v_{x_0}\quad v_{y_0}] v0=[vx0vy0] Or acceleration vector a 0 = [ a x 0 a y 0 ] a^0=[a_{x_0}\quad a_{y_0}] a0=[ax0ay0] To represent the corresponding instruction in polar coordinates .
According to the calculated angular velocity , Define negative linear velocity ν<0. Another calculation ω ω ω The method is to use the current value of the direction defined by the velocity vector :
function atant2 : R × R → S : \mathbb{R} \times \mathbb{R} \to \mathbb{S} :R×R→S, Its value range is [ − π π ] [-\pi \quad \pi] [−ππ].
2.1.3 Linearization
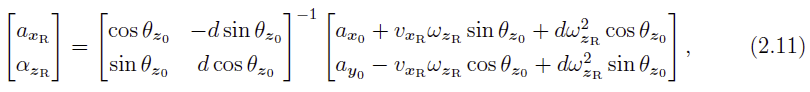
Nonholonomic constraints of robots have no linear relationship , Therefore, it is impossible to (2.2) Establish a time invariant linear system model (LTI, Linear time invariant ). To avoid these problems caused by , Pictured 2.2 Shown , The central axis x R x_R xR The distance is very small , Therefore, the robot can be regarded as a particle .
According to the figure (2.2), The relationship between the robot center and the linearized reference is shown in the following formula :
Take the equation (2.5) First derivative of , We have

Then the second derivative becomes 
From the equation (2.2) We can draw 
stay (2.7) replace (2.8):
State variable model 

among a x 0 a_{x_0} ax0 and a y 0 a_{y_0} ay0 Is the velocity in the inertial coordinate system p ˙ x 0 = p ′ ˙ x 0 \dot{p}_{x_0} = \dot{p'}_{x_0} p˙x0=p′˙x0 and p ˙ y 0 = p ′ ˙ y 0 \dot{p}_{y_0} = \dot{p'}_{y_0} p˙y0=p′˙y0 Acceleration input , When applying speed command or acceleration command , Kinematic constraints need not be considered , So as to show a complete robot 
2.2 The model in the state variable
From a set of first-order differential equations ( Or the difference equation of discrete-time system ) in , The system state is determined by the state variable x x x( Usually as time t Function of ) Vector representation of , This vector provides an internal description of the system motion . With the development of the system , State change is determined by state x x x And the input u u u Linear combination description of , for example 
In the formula above , A A A and B B B It is a matrix to determine the internal dynamics of the system , and C C C and D D D Shows how to measure or observe variables in the output . chart 2.3 The formula... Is shown in a block diagram (2.13) The implementation of the . In the case of second-order or higher-order equations , Some higher-order terms can be regarded as state variables , The equations are extended to include only the first order form .
In digital applications , Discrete models are used . In the discrete case , The state vector passes with the sampling time T s ∈ R T_s \in \mathbb{R} Ts∈R dependent x x x Evolve step by step iteratively . The next iteration of the state vector x ( k + 1 ) x(k +1) x(k+1) Is based on the state current x ( k ) x(k) x(k) And current input u ( k ) u(k) u(k) Calculated .
The parameter F F F and G G G The calculation of is as follows :

Please note that , The matrix exponent can be calculated from the Taylor series expansion 
2.3 System model
Use linearization , It is possible to describe the motion of a robot with differential wheels in the same way as a complete robot , Without considering the complete limitations . From formula 2.12 Start , Represents a continuous model

The state vector is x ( t ) = [ p ( t ) T v ( t ) T ] T x(t)= [p(t)^T \quad v(t)^T]^T x(t)=[p(t)Tv(t)T]T, Input u ( t ) = a ( t ) u(t)=a(t) u(t)=a(t).
Put the equation (2.17) And equation (2.13a) By comparison, we can get , Matrix in discrete model A = [ 0 1 0 0 ] A=\left[ \begin{matrix} 0 & 1 \\ 0 & 0 \\ \end{matrix} \right] A=[0010] and B = [ 0 1 ] B=\left[ \begin{matrix} 0 \\ 1 \\ \end{matrix} \right] B=[01], Apply the equation (2.15a) and (2.15b), Omit the second or higher term of the matrix index , bring 
Take the two-dimensional component of the vector , The second-order discrete model is obtained :
3 Model based predictive control
Model predictive control (Model Predictive Control, MPC), Or predictive control for short , The joint optimization strategy is based on the explicit prediction model , Controller design method for system automation , At the same time, the system variables must meet the constraints . Usually , The optimization problem considers the prediction of the state and control measures in a limited range in the future , Only use the first measure in the actual system , Then discard other measures . In the next iteration , The optimization problem will be updated and solved again with the new measurements obtained , The new measurement is called the backtracking period .
chart 3.1 stay SISO In the application (Single Input Single Output, Single input single output ) The behavior of a system using predictive control can be exemplified . From the beginning , Suppose the sampling period is T s ∈ R T_s \in \mathbb{R} Ts∈R, When the size is N ∈ N N \in \mathbb{N} N∈N Define a reference value or trajectory within the prediction range of r ( k ) , r ( k + 1 ) , . . . , r ( k + N ) r(k),r(k + 1),...,r(k + N) r(k),r(k+1),...,r(k+N). According to the process model and previous readings , Design a mechanism to estimate the output y ( k ) , y ( k + 1 ) , . . . , y ( k + N ) y(k),y(k + 1),...,y(k + N) y(k),y(k+1),...,y(k+N) And input signals u ( k ) , u ( k + 1 ) , . . . , u ( k + N ) u(k),u( k + 1),...,u(k + N) u(k),u(k+1),...,u(k+N). Construct optimization problems based on criteria or objective functions , To select the input signal set , To keep the behavior of the system close to the reference trajectory , And you can also consider changes such as input ( Control error ) Such factors . Usually , Optimization problems require more time when dealing with control cases or tasks , But it must be less than T s T_s Ts Within time .
MPC From the concept of 1960 It has appeared in the literature since the mid-1990s , It is very popular mainly in the chemical industry , Used to display systems with slow dynamic changes . since 1980 s , It has been used in restricted applications with multiple variables . With the improvement of computing power ,MPC No longer limited to dynamic and slow processes , It's faster to use 、 More effective optimization techniques , This makes it possible to use predictive control in more and more applications .
Because it is a method , Therefore, there are several implementation methods of predictive control , They have modeling capabilities 、 Different combinations of prediction strategy and optimization algorithm . these years , Some implementations have developed and have been widely disseminated . One example is QDMC Algorithm (Quadratic Dynamic Matrix Control), The algorithm is applicable to the previous generation DMC(Dynamic Matrix Control) Improved , It has low computing cost . QDMC The main functions of :
- Linear model ;
- In the prediction time range, it is a quadratic objective function ;
- The behavior of the variable of interest in the future must follow the reference and be constrained by the penalty term .
- The optimal input is obtained by solving the quadratic problem .
3.1 determine MPC problem
Based on the equation (2.19) The model shown in and QDMC Realization , For controlling mobile robots MPC The problem can be defined as
Since all state variables are observable , Therefore, the state vector is regarded as the output of the system itself . The expression to be minimized consists of the weighted sum of quadratic components , among x ( k ) − r ( k ) x(k)-r(k) x(k)−r(k) Represents the trajectory error of the mobile robot .
The objective function to be minimized consists of the weighted sum of quadratic components , So the matrix Q Q Q and R R R It's semi-positive definite , And can vary within the predicted range . matrix Q Q Q and R R R It is the basic parameter of controller adjustment , It is used to associate the weight with the reference distance standard and the application of control action, respectively . Problem constraints limit the optimization area , It not only considers the dynamics of the system , The physical limitations of the system relative to position and speed are also considered ( With x m i n x_{min} xmin, x m a x x_{max} xmax and u m i n u_{min} umin and u m a x u_{max} umax Express ), And the initial conditions given by the current position and speed x 0 x_0 x0.
3.2 Convex optimization
Convex optimization problems form a class of mathematical optimization problems through recognized theories , Can achieve very effective and reliable solutions . Besides , They have great advantages in the application of global optimization and variable combination . For these reasons , It has been used in control systems , Estimation and signal processing , Communications and networks , Electronic circuit design , Data analysis , In economics and other applications .
Usually , The convex optimization problem can be defined as follows :
among z ∈ R n z \in \mathbb{R}^n z∈Rn Is based on the cost function J ( z ) : R n → R J(z):\mathbb{R}^n \to \mathbb{R} J(z):Rn→R Optimized variables ( It's usually a vector ), And satisfy the constraint function f i ( z ) : R n → R f_i(z):\mathbb{R}^n \to \mathbb{R} fi(z):Rn→R Sum constant b i ∈ R b_i \in \mathbb{R} bi∈R. Besides , J ( z ) J(z) J(z) and f i ( z ) f_i(z) fi(z) Satisfy convexity , That is for z 1 , z 2 ∈ R n z_1,z_2 \in \mathbb{R}^n z1,z2∈Rn and α , β ∈ R \alpha,\beta \in \mathbb{R} α,β∈R There are the following relationships :
From the above formula, we can see that the linear function is also convex . Some known applications of optimization ( For example, the least square method , Linear programming , Semidefined programming and quadratic programming ) Is a special subclass of convex optimization . To make a long story short , The problem of least squares optimization is that the sum of squares is unconstrained as the objective function , Linear programming assumes objective functions and convex constraints , Semidefinite programming optimizes the linear cost function according to the intersection of positive and negative matrix cones , Quadratic programming uses quadratic objective functions and convex constraints .
Each constraint represents a half space a i T z ≤ b i a_i^Tz \le b_i aiTz≤bi, By the normal vector a i a_i ai Sum point z 0 i z_{0i} z0i decision , Pictured 3.2 Shown .
The region defined by the linear constraint describes a polygon A z ≤ b Az \le b Az≤b, among b = [ b 1 b 2 . . . b i . . . b m ] b=[b_1 \quad b_2 \quad ... b_i ... \quad b_m] b=[b1b2...bi...bm], A A A by m The row consists of a vector a a a Matrix of composition . The size of polyhedron is based on the number of constraints and the number of optimization variables , Therefore z ∈ R z \in \mathbb{R} z∈R, And considering some constraints, it is A ∈ R m × n A \in R^{m \times n} A∈Rm×n. chart 3.3 Shows an example , It contains a two-dimensional polyhedron constructed by five constraints .
3.2.1 Second planning
Quadratic programming can be defined by the following expression (QP,Quadratic Programming) optimization problem 
among , Positive semidefinite matrices P P P and c ∈ R n c \in \mathbb{R}^n c∈Rn Respectively represent secondary . Under limited conditions , z m i n z_{min} zmin and z m a x z_{max} zmax Determines the operation A z Az Az Minimum and maximum limits of . hypothesis z m a x = b z_{max} = b zmax=b And each z m i n = − ∞ z_{min}=-∞ zmin=−∞, Can be used to represent 3.3 A region enclosed by a polyhedron in a . notes : Usually not considered z m i n = z m a x z_{min} = z_{max} zmin=zmax The situation of .
One of the advantages of this method is , Once the problem is feasible , The unique global minimum can be guaranteed . contrary , In linear programming , The solution is not guaranteed to be unique , But at the top of the strategy ( The intersection between hyperplanes ) Find .
In order to solve the quadratic programming problem , You can use, for example, active sets (Active Set), Interior point (Interior Point) And the first-order method (First Order). say concretely , The first-order method uses only the first-order information from the objective function to iteratively calculate the optimal solution . A special first-order technique is operator splitting , It models the optimization problem as a problem of finding the root of the sum of monotone operators .
In this work , Used OSQP(Operator Splitting Quadratic Program), It is a general solver for solving quadratic optimization problems , It applies a method of separating operators , Can be based on ADMM Algorithm (Alternating Direction Method of Multipliers) High precision computing solutions .
3.3 take MPC The question turned to QP
In order to be in OSQP Or some other programming solution , It is necessary to put the formula (3.1) Medium MPC The problem passes to the formula 3.4 Given in QP problem . All States and forecast ranges will be N N N The input is combined into a vector z z z, It can be written. :
The quadratic matrix component of the objective function P P P And linear c c c The prediction range is considered . So , Use Kronecker The product of , In which the weight matrix is applied Q Q Q and R R R, And MPC The form of the problem represents the reference path r r r,
For the application developed in this article , n x = 4 n_x = 4 nx=4 It's state x x x The dimension of the vector , n u = 2 n_u = 2 nu=2 It's state u u u The dimension of the vector .
MPC The problem is determined by convex functions in the form of equations and inequalities . therefore , According to the equation ( Subscript eq) And inequality ( Subscript ineq) Calculation of submatrix of graph QP The weight of the problem z m i n z_{min} zmin, z m a x z_{max} zmax and A A A, Such as 
therefore A e q A_{eq} Aeq, z m i n e q z_{min_{eq}} zmineq and z m a x e q z_{max_{eq}} zmaxeq From the matrix representing the dynamics of the system F F F and G G G Derived to the prediction range N N N From the . Because these factors represent the equal conditions of the optimization problem , therefore z m i n e q = z m a x e q z_{min_{eq}} = z_{max_{eq}} zmineq=zmaxeq, Generate a set of hyperplanes A e q z = z m i n e q = z m a x e q A_{eq}z = z_{min_{eq}} = z_{max_{eq}} Aeqz=zmineq=zmaxeq. in addition , z m i n e q z_{min_{eq}} zmineq and z m a x e q z_{max_{eq}} zmaxeq Including the initial conditions of the system x ( 0 ) x(0) x(0). therefore , You can write 
Where the matrix I N + 1 k = − 1 I_{N+1}^{k =-1} IN+1k=−1 Parameters of k k k Indicates the offset from the diagonal , k > 0 k>0 k>0 To the right , k < 0 k<0 k<0 Indicates an offset to the left .
inequality A i n e q A_{ineq} Aineq, z m i n i n e q z_{min_{ineq}} zminineq and z m a x i n e q z_{max_{ineq}} zmaxineq The matrix graph of is not even a set of half spaces , Just form a convex area , The convex region is opposite to the state ( x m i n / x m a x x_{min} / x_{max} xmin/xmax) And control inputs ( u m i n / u m a x u_{min} / u_{max} umin/umax) Impose maximum and minimum limits . therefore , Usually z m i n i n e q ≠ z m a x i n e q z_{min_{ineq}} \neq z_{max_{ineq}} zminineq=zmaxineq. Last , You can write 
4 Robot navigation
Robot navigation can be divided into three main tasks , That's positioning , Path planning and motion control . In the autonomous control system , These tasks are interrelated , Therefore, one step will use the results calculated in another step , For example, positioning , The representation of the map and the route to be taken .
Localization is responsible for mapping and modeling the environment of the robot , And through the predetermined world model , Electronic sensors or data processing to determine the state of the robot . Some work in this field involves how to deal with errors and uncertainties in sensor readings .
After knowing the environment or map of the robot , Trajectory planning establishes the path for the robot to move from the initial position to the target position . Generally, it can be divided into two parts: global path planning and local path planning . The former relies on the environment map to plan a path from the starting position to the unknown target , The latter is used to dynamically plan local paths to avoid obstacles in the process of moving . Common algorithms are PRM( Probability roadmap ), Graph search algorithm A * And potential field method .
The motion control system attempts to ensure that the robot can track the position planned by the global path 、 Speed or acceleration . under these circumstances , The system must be able to respond to certain types of interference , For example, obstacles , Terrain tilt and interference of other mobile robots . Different from most global path planning algorithms , The motion control algorithm should be real-time in the environment 、 Local 、 dynamic 、 Rapid response .
4.1 Path planning
Most studies usually assume that obstacles are static , Therefore, when the robot is moving, it needs to continuously control the trajectory 、 Dynamic 、 Local re planning , To avoid collisions . In this work , Moving obstacles or moving objects are not considered in the planning stage of trajectory , These are handled locally by the control system .
In this study , The path is determined by the function r ( t ) = [ p r e f ( t ) T v r e f ( t ) T ] T r(t)= [p_{ref}(t)^T \quad v_{ref}(t)^T]^T r(t)=[pref(t)Tvref(t)T]T Definition , among p r e f ( t ) p_{ref}(t) pref(t) Is the reference vector of the position , and v r e f ( t ) v_{ref}(t) vref(t) Is the velocity reference vector . To ensure smooth and realistic movement , Need to satisfy the relationship v r e f ( t ) = p ˙ r e f ( t ) v_{ref}(t)= \dot p_{ref}(t) vref(t)=p˙ref(t).
It has these characteristics S Type of function , Because it is expressed in derivative form , Therefore, it has been applied in many fields 
among , t m a x t_{max} tmax Is the time when the derivative of the function reaches its maximum , K ∈ R K \in \mathbb{R} K∈R Is the slope coefficient . Use p r e f ( t ) pref(t) pref(t) Logical functions in , When the motion approaches the target , Reduce the acceleration obtained , That is, initially positive , The last is negative . The test robot starts from the starting position to the target position , Through convex combination and its derived form n The components are divided into
chart 4.1 Shows the use of coefficients with different slopes ( But even if it's t m a x t_{max} tmax) Three examples of the trajectory of the logarithmic function , in other words , All tracks show peak velocity at the same time . It can be seen that , K K K And from the p s t a r t p_{start} pstart To p g o a l p_{goal} pgoal The time required is inversely proportional to . therefore , according to K K K Value , Can be done without damaging p r e f ( t ) pref(t) pref(t) Improve... In the case of continuity t m a x t_{max} tmax, But you must choose K K K The way , So that the generated path still complies with the speed limit and the limit of the maximum acceleration of the robot .
4.2 Local control to prevent collision between robots
The following is the first-order method existing in the literature , These methods are designed to avoid conflicts between discrete mobile robots . This approach requires understanding certain characteristics of the environment , For example, the current position and speed of other robots ., Without explicit communication between robots , And the position and speed can be estimated by the sensors in each robot .
chart 4.2 Shows the scenario where these methods will be applied , The circular robot is considered A and B, And through speed v A v_A vA and v B v_B vB、 center p A p_A pA and p B p_B pB, r A r_A rA and r B r_B rB Described . From robot A Put forward these technologies from the perspective of , v B v_B vB Is treated as a fixed vector , v A v_A vA For the velocity vector of interest , And it can also be considered by the global Planner v r e f A v_{refA} vrefA Determined reference speed .
4.2.1 Speed obstacle
Speed barrier (VO) The concept of is based on the mapping of the variable behavior of the environment in the robot speed space . The collision cone is defined , It determines the speed v A , B v_{A,B} vA,B, among A The speed of is relative to B The speed of , If the speed remains constant , Then at some time in the future, it will lead to the collision between agents , for example 

λ ( p A ; v A − v B ) \lambda(p_A; v_A-v_B) λ(pA;vA−vB) Is the edge v A − v B v_A-v_B vA−vB The direction passes through the point p A p_A pA Line , And by and tangent B Tangent lines λ 1 \lambda_1 λ1 and λ 2 \lambda_2 λ2 Definition , Pictured 4.3 Shown .
Consider a system with multiple colliders , The area must be considered in terms of absolute velocity or relative to a fixed inertial frame . Use Minkowski Addition of , And will V O A ∣ B ( v B ) VO_{A|B}(v_B) VOA∣B(vB) The area is defined as
chart 4.4 Shows the area derived from this sum .
v Define an obstacle set , You can start from... According to each obstacle A Establish a speed obstacle area . The union of all these regions is
Define the area jointly A The combination area of speed , This area will collide with some agents at some time in the future .
therefore , Due to agent A The expected speed of is calculated by global programming , therefore v A ∗ ∉ V O A v_A^* \notin VO_A vA∗∈/VOA, therefore v A v_A vA near v r e f A v_{refA} vrefA.
According to another description , Can be obtained considering the time window V O VO VO Area , Pictured 4.5 Shown , The area is limited , Therefore, the speed leading to a later collision is ignored . because B ( p , r ) B(p,r) B(p,r) It's a radius of r r r And in p p p A hollow ball centered on , Therefore, the collision cone and VO Area :
Even in this case v B v_B vB Just a vector , However, this definition does not allow Minkowski And apply to a set of allowable speeds V B V_B VB On , This will not only lead to the displacement of the collision cone , It will also lead to the expansion of the collision cone , Reduced safe area .
4.2.2 Reciprocal speed barrier
Use VO when , If each agent does not consider other agents in the environment , The resulting motion is easy to vibrate . under these circumstances , Reciprocal speed barrier (RVO) The method provides VO An extension of , Oscillations leading to collision free motion .
Use RVO, Instead of choosing VO Speed outside the area , Instead, choose the current speed v A v_A vA And the average value of the velocity immediately outside the region , Thus, the responsibility of preventing collision is divided into the responsibility between two subjects . Two agents A and B Between RVO Area , Its time and definition window is
Geometrically, this area can be interpreted as V O A ∣ B τ ( v B ) VO_{A|B}^{\tau}(vB) VOA∣Bτ(vB) The displacement of , multiply (v_A-v_B)/ 2.
In the case of passive obstacles , That is, when there is no perception and response to the environment , Will keep “ Speed barrier ” Strategy . Suppose a set of passive obstacles are set O \mathbb{O} O, Then the agent A The speed combination area placed on the route of collision with other objects is defined as 
4.2.3 Best reciprocal collision avoidance
Best reciprocal collision avoidance (Optimal Reciprocal Collision Avoidance,ORCA) The proposal includes redesigning VO and RVO The technique used in , In order to create sufficient conditions for collision free navigation of multiple robots . This method is helpful to solve the problem by using convex optimization algorithm , Especially when the robot density is high .
First , Consider the current speed v A v_A vA yes V O A ∣ B τ ( v B ) VO_{A|B}^{\tau}(v_B) VOA∣Bτ(vB) The speed contained in , Then calculate the vector u u u, It means that the robot A The minimum change in speed brought outside the region .
among ∂ V O A ∣ B τ ( v B ) \partial VO_{A|B}^{\tau}(v_B) ∂VOA∣Bτ(vB) yes V O A ∣ B τ ( v B ) VO_{A|B}^{\tau}(v_B) VOA∣Bτ(vB) The limit point of the region .
vector n n n Pointing at VO Points inside the area v A + u v_A + u vA+u The place is also regarded as VO outline V O A ∣ B τ ( v B ) VO_{A|B}^{\tau}(v_B) VOA∣Bτ(vB) Normal vector of , chart 4.6 Describes the vectors in the sample scenario .
O R C A A ∣ B τ ORCA_{A|B}^{\tau} ORCAA∣Bτ The area is defined as A The speed set , It is based on the component principle between two agents , Be similar to RVO, Inclusion ratio vA Bigger , Closer to the vA The speed of , It can prevent collision between robots . Method . therefore , Will be by point v 0 = v A + 1 2 u v_0 = v_A + \frac{1}{2}u v0=vA+21u And normal vectors n n n affirmatory O R C A A ∣ B τ ORCA_{A|B}^{\tau} ORCAA∣Bτ Areas and half planes are defined as 
## 4.3 MPC-ORCA
In the case of multiple agents , Use... In every robot ORCA The resulting half plane is a convex region , Therefore, the intersection of these regions determines a polyhedron , Pictured 3.3 Shown . therefore , A convex optimization problem can be constructed to determine that it is close to v r e f A v_{refA} vrefA Collision free speed command for reference speed .
And only by ORCA The application of the constructed optimization algorithm is compared , Use MPC and ORCA The combination strategy has several advantages . MPC The features in the backward time domain provide a safer trajectory , You can react in advance to possible collisions , And reduce optimization problems become infeasible ( unsolvable ) The situation of . in addition , By combining formulas (2.19) The dynamics of the second-order model proposed in , The calculated trajectory is smoother , Because they assume that there is no sudden change in speed .
By combining ORCA Limit , You can extend the expression (3.1) Existing in MPC Description of the problem . So , take g ( x ( x ( k ) , { x n e i g h ( k ) } ) ≤ 0 g(x(x(k),\{x_{neigh(k)}\}) \leq 0 g(x(x(k),{ xneigh(k)})≤0 Defined as speed limit , This speed limit is determined by the application ORCA It is calculated that , Speed limits related to the speed of other robots . Besides , Consider that the agent will maintain a constant speed , It can be predicted by N N N The algorithm is applied to generate the data for the future state ORCA Limit . therefore ,MPC-ORCA Can be written as a question
Combination strategy MPC-ORCA Another special feature of is that it can realize the controller running in servo or regulator mode . In servo mode , Receive reference path from global Planner r ( k ) , r ( k + 1 ) , . . . , r ( k + N ) r(k),r(k + 1),...,r(k + N) r(k),r(k+1),...,r(k+N), And the controller will output the speed command that the robot keeps near the reference path , Or make small deviations to prevent conflicts with other agents . In the regulatory mode , When satisfied r ( k ) = r ( k + 1 ) = . . . = r ( k + N ) = x g o a l r(k)= r(k + 1)= ... = r(k + N)= x_{goal} r(k)=r(k+1)=...=r(k+N)=xgoal It means that the robot has reached the target point , Which is commonly used x g o a l = [ p g o a l 0 ] T x_{goal} = [p_{goal} \quad 0]^T xgoal=[pgoal0]T Describe the goal . therefore , The controller must bring the robot to the target position , Avoid collision with other robots . In this work ,MPC-ORCA Use in servo mode , Therefore, it allows the robot to perform common and complex trajectories at constant or variable speed , For example, circle , Sinusoidal motion .
4.3.1 take ORCA be applied to QP problem
According to section 3.3 The method used in Section , The equation must be (4.12) Of MPC The problem is transformed into an equation (3.4) Formula QP, Can be used OSQP Such a quadratic program solver . So , Add rows to A A A, z m i n z_{min} zmin and z m a x z_{max} zmax, Redo expression (3.7), As shown below :
Considering many agents near the robot , A O R C A A_{ORCA} AORCA, z m i n , O R C A z_{min,ORCA} zmin,ORCA, z m a x , O R C A z_{max,ORCA} zmax,ORCA To describe ORCA The limit N × m N \times m N×m That's ok . Each line uses v 0 v_0 v0 Constructed by the value of , Not from the application of the algorithm , Describes the State x ( k ) x(k) x(k) The half plane of the allowable velocity value , among k = 0 , 1 , . . . , N k = 0,1, ..., N k=0,1,...,N.
It can be applied to only one state x ( k ) x(k) x(k) The restricted half plane is defined as 
In order to apply these limitations to z z z Optimization variables ( The formula (3.5)), A O R C A A_{ORCA} AORCA The matrix is determined in a sparse structure . A O R C A A_{ORCA} AORCA, z m i n , O R C A z_{min,ORCA} zmin,ORCA and z m a x , O R C A z_{max,ORCA} zmax,ORCA The value of is given by 
In each iteration , Will have ORCA The limit MPC The question turned to QP problem , Keep only the matrix P, The matrix does not change over time .
4.3.2 Strategies for solving infeasible problems
In a dense scene or with multiple interlaced tracks , There may be no solution to the optimization problem . Considering the context of mobile robot , In these cases, some alternative methods can be used :
- Consider zero acceleration , So that the agent can maintain its current speed ;
- Force zero speed , Stop the agent completely ;
- Perform damping at the current speed , That is, the signal acceleration opposite to the current speed is applied , Make its speed close to zero .
All these strategies can solve the optimization problem without solution due to dynamic environment , Note that it is not a static environment that leads to no solution to the optimization problem . however , If you can't solve the problem quickly , The first strategy is more prone to conflict . In this regard , The second strategy is safer , But there is a risk of completely stalling the system . in addition , Due to the limitation of the maximum and minimum acceleration of the robot , It is not always possible to perform . The third strategy is a hybrid strategy , It can maintain the dynamics of the first policy and the security of the second feature , because MPC The prediction function can predict infeasible situations , Thus, the robot can maintain smooth change and achievable speed change . The latter strategy is used in this work .
5 experimental result
In this chapter , Implementation details will be introduced , Adjustment parameters and Simulation of the controller . Two solutions have been developed , In a scheme with only one robot MPC controller ( Used to evaluate its operation ), A combination strategy based on instantiation in each robot of multi system agent MPC-ORCA The controller . Although the model used by the controller is a second-order model , But the robot will receive speed commands , therefore , The velocity component ( Linearity and angle ) And position components ( In the plane ) Considered as input ( x 0 , y 0 x_0, y_0 x0,y0).
5.1 The implementation of
The implementation of the algorithm is in ROS Use... On the operating system Python language-written . ROS(Robot Operating System) It is a framework for robot software development , With a series of Libraries , Tools and simulators ( Such as Gazebo,Stage and V-Rep) Interface .Gazebo Used in this work , Because its simulation has ODE Physical engine (Open Dynamics Engine), It is widely used such as DARPA Robot Challenge and NASA In challenges like the space robot challenge . Use Gazebo function , With URDF Description Language (Uni ed Robot Description Format) A robot equipped with differential wheels , And the interference force and torque acting on the vehicle can be set , For example, as shown in the picture 5.1 Shown .
For example, the control system , The simulator is waiting ROS Defined as a separate node in . Communication between nodes can be used as a topic (topic) Communication channel to perform . chart 5.2 Shows the node structure and topic used in one of the simulations . In the simulation , Through... In each agent topic / cmd Level to control the robot . It can be seen that , There is no direct communication between controllers , However, the reading of environment information can be performed ( adopt topic /gazebo/mdeLstates).
For resolution QP The solver of the problem is OSQP, It runs ADMM Algorithm . In optimization , matrix P P P( The formula (3.6)) and A A A( The formula 4.15) Present a large number equal to 0 Value , This can take up a lot of storage space . To solve this problem , These matrices are assigned to OSQP Compatible sparse data CSC In structure (Compressed Sparse Column), And it can be found in the Scientific Computer Library SciPy gain .
5.2 Tracking control of a single robot
The initial simulation was designed to use the 2.3 The linearized model introduced in this section is used to study the differential robot MPC The behavior of the controller . surface 5.1 Shows the parameters used in the controller .
As long as the speed limit of the robot is observed , Q Q Q The choice of will only punish the position error , Regardless of the speed variable . Q ( 1 ) Q(1) Q(1) It has a high value for the controller , In order to find a solution to try to reduce the position error immediately in the next interaction , But we still have to consider the errors of other prediction dogs .
R R R The assumed value exerts a small loss on acceleration , The purpose is to make the speed performance more stable . At the time of sampling T s = 0.1 T_s = 0.1 Ts=0.1 In seconds , Forecast range N = 10 N = 10 N=10 It means that 1 Second prediction , And define... In this way : An increase in this value will not greatly change the result .
5.2.1 scene 1
The first simulation scenario includes a path with S Path of type function , from p s t a r t = [ 0 0 ] T p_{start} = [0 \quad 0]^T pstart=[00]T To p g o a l = [ 7 7 ] t p_{goal} = [7 \quad 7]^t pgoal=[77]t Peak velocity at t m a x = 10 t_{max}= 10 tmax=10 second , Slope K = 0.5 K = 0.5 K=0.5. chart 5.3 and 5.4 Shows the results of the first scenario , The applied output and input are displayed respectively .
In the figure 5.3 in , Overlapping lines indicate that the position variables of the robot follow the reference path . Binding graph 5.4 The control actions shown in , The predictive characteristics of the controller can be observed , Because even when the variable weight is zero , The controller can also consider the change of reference signal by smoothly adjusting the speed of the robot .
At about 15 Seconds , When the robot approaches the target , The controller will decelerate at a certain speed , Make the position of the robot follow the path of each change . stay 20 seconds , r ( k ) ≅ r ( k + 1 ) ≅ . . . ≅ r ( k + N ) r(k)\cong r(k + 1)\cong ... \cong r(k + N) r(k)≅r(k+1)≅...≅r(k+N), At this time, the controller makes the robot fully reach the target point , Therefore, it will be impossible to predict changes later .
5.2.2 scene 2
The second simulation scheme is designed to observe MPC The response of the controller when the system encounters unmodeled interference , under these circumstances , An unexpected force or torque is applied to the robot or part of the ground 、 steep hill . Pictured 5.1 Shown , The disturbance is characterized by force F p = [ − 300 − 300 0 ] T N F_p = [-300 \quad-300 \quad 0]^T N Fp=[−300−3000]TN And torque τ p = [ 50 50 − 100 ] T N m \tau p = [50 \quad 50 \quad -100]^T Nm τp=[5050−100]TNm Unable to overturn the vehicle , But enough to move the robot from its trajectory to a considerable distance .
chart 5.5 and 5.6 Shows the results of the second scenario . Use the figure 5.1 Interface shown , stay 6 To 7 Force and torque are applied instantaneously in seconds , This causes the trajectory to deviate . however ,MPC The robot can be kept in an approximate position according to the performance limit , And try to restore its trajectory .
The behavior of the robot can also be shown in figure 5.7 see , This figure shows a top view of the plane on which the robot moves . The reference path applies a linear path with variable speed , The marked points represent the position of the robot or its reference at linear intervals . It can be at the point where the robot is located [ 1 1 ] T [1 \quad 1]^T [11]T Interference is observed in the area of , This leads to unnecessary displacement of its trajectory . The response of the controller makes it possible for the robot to return to its path , It avoids excessive sudden movement caused by the loss of acceleration variable of cost function .
## 5.3 Control of a system with multiple robot distributions
Two multi-agent schemes are designed to verify the combination strategy MPC-ORCA Implementation . This time, , Initially, the four robots are placed in opposite positions and equidistant from each other , The reference path intentionally guides all agents around p = [ 0 0 ] T p= [0 \quad 0]^T p=[00]T There's a collision at .
Parameters and tables used by the controller 5.1 The parameters listed in are the same , And added for calculating ORCA The collision cone truncation parameters of the algorithm τ = 5 s \tau= 5s τ=5s. surface 5.2 The initial settings and the most commonly used settings for calculating the trajectory of multi-agent scene are summarized .
5.3.1 scene 3
chart 5.8 The motion of the robot in the third simulation process is summarized . Although the reference path is a straight line , Guide each robot to its own final position , however MPC-ORCA The restrictions imposed can be deviated as soon as possible to avoid conflicts between agents , Mainly in the p = [ 0 0 ] T p = [0\quad 0]^T p=[00]T, All robots have the same desired position variable at the same time .
Pictured 5.9 Shown , robot 1 There is a deviation in the path of , Thus, the collision with other agents is predicted , It's with Y In the position variable related to the axis , This variable remains unchanged in the reference path . however , It can also be observed that X Deviation of axis related position variables , Because of the picture 5.9 The figure on the left is the same as figure 5.3 The figure on the left shows a small difference .

5.3.2 scene 4
In the fourth case , Different configurations are specified to show the generality of the proposed solution . chart 5.10 A plan view showing the assumed trajectory of the robot in this simulation scenario , Collision free trajectories can also be observed in this scene .
For robots 1 The experimental results are shown in Fig 5.11 Shown , Despite the application of anti-collision restrictions , However, the path adopted by the robot is very different from the reference trajectory .
5.4 Discuss
Some characteristics will be felt in the process of adjusting the controller parameters , And how they affect the results obtained . In the scheme 1 and 2 in , The allowable speed range in each iteration is limited by the model used and the operation ( Maximum speed v m a x v_{max} vmax And minimum speed v m i n v_{min} vmin) Definition . In the 3 The first case and the second case 4 Under different circumstances , because ORCA Application of the algorithm in the prediction range , The optimization problem limits this variable more strictly , This makes the problem infeasible .
The possibility of responding in advance and the 4.3.2 The application of the strategy discussed in this section , Less QP The occurrence of an unsolved problem . however , stay ORCA After the algorithm leads to an unsolvable problem , The very narrow speed limit makes it difficult for the controller to return the robot to the desired trajectory , Because the solution of the optimization problem must meet v m a x v_{max} vmax and v m i n v_{min} vmin The limitation of . under these circumstances , You can increase the speed variable [ v m i n v m a x ] [v_{min} \quad v_{max}] [vminvmax] Running interval of .
It can also be observed that , During multi-agent simulation , Accelerate... In the cost function ( adopt R matrix ) Applying penalties leads to a smoother collision avoidance bias , This is easier to correct later , Whether from a point of view , The same as the optimization algorithm , The change of system input is also small .
In two simulations of multi-agent scenes , Since the vehicle is pre positioned in a collision free configuration , So they can perform fast motion , This shows that MPC-ORCA It can be considered as a technology suitable for environments with moving obstacles .
6 Conclusion
This work proposes a model-based predictive control (MPC) And ORCA The method of combining anti-collision algorithm , The algorithm is applied to the distributed system of mobile robot with single target point , Without periodic route re planning or direct communication with other agents . For each iteration of the prediction range , Will calculate the speed limit ( For example, speed limit and acceleration ), And insert it into QP In the optimization problem , This avoids collisions between the controlled robot and other agents .
The robot with differential wheel has kinematic limitations , A linearized model is required to implement the implemented controller , however , The robot can establish a direction with smooth path and no collision , The deviation from the reference trajectory is very small . The robot using this strategy can deal with the rapidly changing environment , Other agents can also move at high speed in this environment . Compared with the solutions proposed by other studies , The advantage of this solution is that it uses a reference path instead of a target location , Because it can make the robot move according to the described path , And the position does not change with the passage of time .
This research is aimed at mobile robots , However, the technology used can be extended to control and prevent the collision of robots operating in small space , For example, aircraft and mechanical arms , However, it is necessary to adjust the system model and determine ORCA Limit . In addition, it is also possible to make... By applying more basic commands, such as torque commands or wheel acceleration MPC-ORCA execution work .
reference :
- https://github.com/EASY-SPARC/TCC-Glauber/
边栏推荐
猜你喜欢

my_ Ls summary

jupyter 创建虚拟环境并安装pytorch(gpu)

Find active SQL connections in SQL Server

Jupyter creates a virtual environment and installs pytorch (GPU)

SolidWorks simulation curve attribute setting

Kmeans implementation

OpenCV(三)——图像分割

DRF learning notes (I): Data Serialization

Mazak handwheel maintenance Mazak little giant CNC machine tool handle operator maintenance av-eahs-382-1

Replication of complex linked list
随机推荐
[cqoi2012] local minima & Mike and foam
solidwork装配体导入到Adams中出现多个Part重名和Part丢失的情况处理
闲聊技巧
【论文阅读】Single- and Cross-Modality Near Duplicate Image PairsDetection via Spatial Transformer Compar
Leetcode 226 flip binary tree (recursive)
2021-06-02
DRF learning notes (II): Data deserialization
论文缩小
Kmeans implementation
Snowflake ID (go Implementation)
T5 learning
What is ti's calculation for successively canceling the agency rights of anfuli / Wenye / Shiping?
Bean: Model: Entity的区别
【pytorch】|transforms.FiveCrop
Simulation生成报表
字节跳动服务网格基于 Hertz 框架的落地实践
pdf 提取文字
Rotate string left
收藏!0基础开源数据可视化平台FlyFish大屏开发指南
The difference between select/poll/epoll