当前位置:网站首页>[day4 literature intensive reading] space – time interdependence: evidence against Asymmetric mapping between time and space
[day4 literature intensive reading] space – time interdependence: evidence against Asymmetric mapping between time and space
2022-06-11 22:57:00 【Yu Adzuki】
Read the literature :
Cai, Z. G. and L. Connell (2015). "Space–time interdependence: Evidence against asymmetric mapping between time and space." cognition 136: 268-281.
Links to Literature :https://www.sciencedirect.com/science/article/abs/pii/S0010027714002650
List of articles
- Abstract
- One 、 Preface
- Two 、 Experimental design
- 1. Experiment 1 :touching sticks + hearing notes
- 2. Experiment two :touching and seeing sticks + hearing notes
- 3. Experiment three :only touching/touching and seeing sticks + hearing notes
- 3、 ... and 、 summary
- A little thought
Abstract
Ask questions : The relationship between time and space is always asymmetric ( Space versus time perception The impact is greater )? Or more flexible ( Under some conditions, time vs. space perception Greater impact )?
Compared with the previous studies on the relationship between spatiotemporal interference commonly used in the field of vision visual Stimulation is a source of spatial information in different ways , Spatial acuity was used in this study spatial acuity Lower touch haptic stimulate , Find out :
1) When only tactile information is used as the source of spatial information , Time information to space perception An impact , On the contrary, there is no ;
2) When using touch and vision as the spatial information source at the same time , The degree of space-time interference is equal .
The findings in this study are contrary to the asymmetry of spatiotemporal interference , Think of time and space Having a common form of representation common representational format, And spatiotemporal interference depends on the perceptual acuity of spatial information .
One 、 Preface
1、 For the relationship between the representation of time and space 2 Species interpretation
(1)spatial metaphor
People often use concrete spatial information to represent temporal information , Suppose that time and space are Two independent representation systems separate representational systems, But there is an asymmetry that interferes with each other asymmetric Relationship : Space perception is always stronger than time perception . This means that the relationship between time and space is only 2 A possibility :
1) Space affects time unilaterally ;
2) Time and space interact , But space has a stronger influence on time .
→ This view has been strongly supported by many experiments ( Such as Day2 The literature ), But they all use vision to represent spatial information , However , Spatial representation does not represent vision , It can be done in many ways, such as vision 、 auditory 、 Tactile sensation 、 Language, etc , Vision has the highest spatial acuity , Therefore, this paper holds that : Previous studies have found that space has a stronger asymmetric effect on time , The high spatial acuity derived from vision is relatively less susceptible to distortion , Not because of the asymmetry of the spatiotemporal interference relationship .
(2)spatial representation
It is proposed that temporal and spatial information is processed in a common neural matrix , Share resources of representation and attention ( Have a common representation system ), The relationship between time and space is bidirectional , And under some conditions, time has a greater impact on spatial perception , This is related to spatial metaphor Contrary to each other .
Here for the representation of space-time relations 2 Species interpretation , It seems to be with Day3 The literature mentions the relationship between space-time perception 2 Species theory ATOM/CMT There is something in common :
Space time perception Spatiotemporal representation ATOM The space-time relationship is symmetrical , An indifference magnitude representation system in the brain is proposed spatial representation The space-time relationship is bidirectional and elastic , Time and space information Having a common form of representation CMT The relationship between time and space is asymmetric , When people represent abstract time, they use concrete space as metaphor , Space has a greater influence on time spatial metaphor The relationship between time and space is asymmetric , People often use concrete spatial information to represent temporal information , It is assumed that time and space are two independent representation systems
2、 The research idea of this paper
This paper adopts the form of touch and the combination of touch and vision to control the spatial perceptual sensitivity 、 Get spatial information , Assume :
(1) if spatial metaphor correct
Under the condition of changing spatial perceptual sensitivity , Space should always have a greater impact on time .
(2) if spatial representation correct
The influence of time on space depends on the relative sensitivity of spatial representation . Previous studies have shown that , Tactile sense is easily influenced by current time information , Therefore, it will not distort the perception of time like vision with high spatial sensitivity , Even when time has a greater impact on space .
Two 、 Experimental design
1. Experiment 1 :touching sticks + hearing notes
32 Subjects participated in 8( Stick length ,100-450mm)×8( Length of sound ,1000-4500ms)×2( Copy task , Stick length / Length of sound ) In subject experiment design . In the experiments , The subjects' vision was completely blocked , Each try , The tried hand touch obtains the stick length information , At the same time, the main test player plays audio randomly , After the audio frequency is over, the subjects are randomly asked to copy the stick length or sound length . The experimental setup is shown in the figure below :

(1) Experimental data measurement
1) The task of copying sound length requires the subjects to press the key , Measure the key duration ;
2) The task of copying the stick length requires that the distance between the index fingers of the left and right hands be used to indicate the stick length , The distance between index fingers was measured . There may be subjective errors in the measurement length , In this study, two methods are used to avoid and improve the reliability reliability: One is to take pictures of the subjects' index fingers and present them randomly , The main test subjects measure the distance without knowing which processing conditions the photos belong to ; The second is the second author's research on random 12% sample blind-code( I think this means measuring the distance as the main test ), The results of the main trial are highly consistent with those of the second author (r = .999).
(2) experimental result
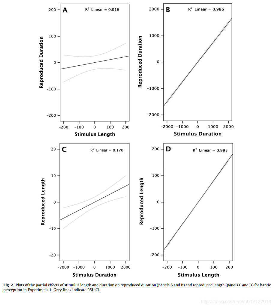
Calculate the length of the stick copied under each condition length And length duration As the dependent variable , To be practical length and duration As predictors The independent variables , The regression analysis is as follows :


1) The copied stick length increases with the actual stick length (R² Linnear = 0.993, p<.001), And it increases with the increase of the actual sound length (R² Linnear = 0.170, p<.001), This means that with longer audio , Subjects tend to think that the stick is longer , Time has an effect on spatial perception .
2) The copied length increases with the actual length (R² Linnear = 0.986, p<.001), But there is no significant linear relationship with the actual stick length (R² Linnear = 0.016, p = 0.161), This means that under the condition of acquiring spatial information through touch , Space has no significant effect on time perception .
3) For comparison “ Time affects space ” And “ Space affects time ” Relative effect size of ( For example, the influence of the actual length of the stick on the length of the copied stick is separated to obtain the influence of the pure actual length of the stick on the length of the copied stick ), Partial correlation coefficient of each subject under each dimension partial correlations Calculate and compare , have to :

It can be seen that , In Experiment 1, the influence of time on space is significantly greater than that of space on time .
(3) Discuss
In this experiment, spatial information is obtained by using tactile touch with low spatial sensitivity , Find out Time has a significant effect on space , Space has no significant effect on time , Support spatial representation theory .
2. Experiment two :touching and seeing sticks + hearing notes
In Experiment 2, the subjects could see the stick length and their index finger , Therefore, it can obtain spatial information through two sensory channels of vision and touch . The other treatments were the same as experiment 1 .
(1) The experiment assumes
According to previous research , When the information of visual and tactile sensory channels can be obtained at the same time : People tend to rely more on vision and get results that are similar to those when there is only vision ; If vision is artificially reduced , People will rely more on touch and get results that are similar to those when there is only touch . Therefore, this experiment assumes , When both vision and touch are available , The subjects' spatial sensitivity increased , You will get different results from Experiment 1 .
(2) experimental result



1) The copied stick length increases with the actual stick length (R² Linnear = 0.989, p<.001), And it increases with the increase of the actual sound length (R² Linnear = 0.046, p<.05), This means that with longer audio , Subjects tend to think that the stick is longer , Time has an effect on spatial perception , Same as experiment 1 .
2) The copied length increases with the actual length (R² Linnear = 0.985, p<.001), And with the actual staff length increases slightly marginally increased with stimulus length(R² Linnear = 0.028, p = 0.094), Different from Experiment 1 , This means that after improving spatial acuity by increasing vision , Tactile acquisition of spatial information , The subject's judgment of time presents space Edges significantly affect The trend of , Although the trend is weak .
3) contrast “ Time affects space ” And “ Space affects time ” Relative effect size of ( see Fig. 3) Find out , The influence of space on time is almost the same as that of time on space , No significant difference .
(3) Discuss
After increasing the visual acuity to improve the spatial acuity of the subjects :
1) The phenomenon that time affects space found in Experiment 1 still exists ;
2) Different from Experiment 1 , Space has less impact than time , And the influence of space on time is almost the same as that of time on space .
therefore , Experiment 2 still maintains that the relationship between space and time is asymmetric and that the influence of space on time is always stronger spatial metaphor Contrary to the theory , Support spatial representations theory , And recognize by The interference between space and time is affected by the sensitivity of spatial representation .
3. Experiment three :only touching/touching and seeing sticks + hearing notes
Experiment 3 aims to explore : Spatial representation acuity under tactile conditions , Whether it is lower than the situation when the sense of touch and vision are available at the same time .
21 Subjects participated in 6( Stick length ,150-400mm)×6( Length of sound ,1500-4000ms)×2( Copy task , Stick length / Length of sound )×2( Spatial information type , Tactile sensation / Touch and vision ) In subject experiment design . Under tactile conditions block 1 The other treatments were the same as experiment 1 , In tactile and visual conditions block 2 The other treatments were the same as experiment 2 . It is equivalent to Integrating Experiment 1 and Experiment 2 , Because the experiment time is too long, the stick will be long 、 Reduce the length level to reduce the number of experiments .
(1) The experiment assumes
1) The results observed in Experiment 1 will be repeated under tactile conditions pace affects time more than time
affects space;
2) The results observed in Experiment 2 will be repeated under tactile and visual conditions space and time affect each other
approximately equally;
3) If the subjects' spatial representation acuity is lower under tactile conditions , The accuracy of stick length estimation should be lower than that of tactile and visual conditions .
(2) experimental result
1) The spatial information type is added to the independent variables of the regression analysis model modality of spatial perception (coded 0 for haptic, 1 for visuohaptic), have to :

① The copied stick length increases with the actual stick length (Partial r = 0.993, p<.001), And it increases with the increase of the actual sound length (Partial r = 0.370, p<.001), There is no significant linear relationship with spatial information type (Partial r = -.114, p>.05), Explain that the length of the stick copied by the subjects under tactile conditions is the same as There is no significant difference between tactile and visual conditions ;
② The copied length increases with the actual length (Partial r = 0.990, p<.001), There is no significant linear relationship with the actual stick length (Partial r = 0.130, p>.05), There is a significant negative linear relationship with spatial information types (Partial r = -.389, p<.001), It shows that the length of the sound copied by the subjects under the tactile condition is significantly greater than Tactile and visual conditions ;
2) Remove the spatial information type arguments , Do regression analysis :


Under tactile conditions , The results obtained are the same as those in Experiment 1 , Verify the experimental hypothesis 1) :
① The copied stick length increases with the actual stick length , And it increases with the increase of the actual sound length , Time has an effect on spatial perception ;
② The copied length increases with the actual length , But there is no significant linear relationship with the actual stick length , Space has no significant effect on time perception ;
③ from Fig 3, The influence of time on space is significantly greater than that of space on time .


In tactile and visual conditions , The results obtained are basically the same as those in Experiment 2 , Basic test hypothesis 2) :
① The copied stick length increases with the actual stick length , And it increases with the increase of the actual sound length , Time has an effect on spatial perception .
② The copied length increases with the actual length , But what originally appeared in Experiment 2 : The copied length increases slightly with the actual stick length marginally increased with stimulus length The situation did not occur , Time has no effect on spatial perception .
③ from Fig. 3, The influence of space on time is almost the same as that of time on space , No significant difference .
3) Under two conditions Accuracy of stick length estimation ( With mean partial r As a measure ) Make repeated measurements t Inspection found that , The accuracy of tactile condition is significantly lower than that of tactile and visual condition (p < .001), The experiment assumes 3) establish .
(3) Discuss
Experiment 3 shows that :
1) The sensitivity of spatial representation under tactile condition is lower than that of tactile and visual ;
2) The low altitude representation sensitivity under tactile conditions leads to the change of time-space interaction , Time has a greater influence on space than vice versa , And compared with previous studies ( Such as Day2/3 The literature ) It is contrary to the result that space has a greater impact on time under the visual condition of high altitude ;
3) This experiment It still advocates that the relationship between space and time is asymmetric and that the influence of space on time is always stronger spatial metaphor The explanation contradicts , Support spatial representations explain .
3、 ... and 、 summary
1、 The interference between space and time is affected by the sensitivity of spatial representation :
(1) Touch is compared to touch + Vision or individual vision , Lower spatial representation sensitivity ;
(2) Under the condition of obtaining spatial information with strong spatial representation sensitivity , Like vision , Not easily disturbed by other information such as time , It can even interfere with time ;
(3) Under tactile conditions with low spatial representation sensitivity , Time has a greater impact on space ; Under the condition of simultaneous tactile and visual acquisition of sensitivity at high altitude , Time has almost the same effect on space .
2、 This study supports the proposition that time and space share representation systems 、 The influence of time and space is equal spatial representations explain , It does not support the proposition that the space-time relationship is asymmetric and the influence of space on time is always stronger spatial metaphor explain .
3、 With visual participation , Why is there no previous study in this study ( Such as Day2/3 The literature ) In that way, we can observe the significant influence of space on time ? The possible reasons are as follows :
(1) Attention is allocated
In this study, the experimental conditions of both tactile and visual perception were used , There may be a problem with attention distribution , The spatial sensitivity is lower than that of single vision . But if this reason holds , Will be the same as before about touch + The research that the spatial perception of vision and single vision tend to be the same goes against (Ernst &Banks, 2002; Helbig & Ernst, 2007; Kennett et al., 2001;Millar & Al-Attar, 2005);
(2) Experimental tasks lead to
The experimental task in this study requires the subjects to rely more on touch even under the condition of visual availability , Because they need to use the same visual and tactile form as forming spatial information to copy distance . How the interaction of space and time changes according to the way of spatial perception and replication , It is worth further study .
4、 The interaction between spacetime and space may be affected by other dimensions such as quantity or magnitude Influence , This hypothesis needs further study .
5、the integrated account of time perception
(1)spatial representations and spatial metaphor There is a problem that , The time representation it focuses on is conceptual Instead of psychophysical.
(2) The author of this article has written in internal clock model An attempt is made to locate the spatiotemporal effect in the mechanical framework of , Think that time is central pacemaker Of pulse Recorded and stored in memory . It is assumed that spatial processing will not affect pacemaker Or actual perceived time , And when both exist in memory at the same time , The spatial representation of visual length will interfere with the temporal representation , Because they have common format. Space-time interaction is the interference between space and time representation in short-term memory , Instead of the interference occurring at the point of space or time coding .→the integrated account of time perception, It can be explained that when space-time representations are all in short-term memory , The change of spatial perceptual acuity will bring different interference to spatial representation and the ability of temporal representation , Such as “ summary 1、(2)”.( This section is visible Day11 The literature )
6、 Whether the influence of time perception on other dimensions of perception is regulated by the acquisition form of time representation ( Such as through vision 、 Sense time by hearing or feeling ), It needs further study .
A little thought
1、 This study found that when using tactile stimuli with low spatial sensitivity as the source of spatial information , Time has a greater impact on spatial cognition (Tau effect ), In previous studies, when visual stimuli with high spatial sensitivity were used as the source of spatial information , Space has a greater impact on time cognition (Kappa effect ), Does it mean that spatial acuity may be an adjustment Kappa and Tau Potential causes of the effect ?( Such as Day3 Medium imputed velocity)
2、 about “ summary 3、” The problems mentioned in , Except as proposed by the author 2 For reasons other than , Is it possible that the experimental paradigm adopted in this paper is too difficult for subjects to form spatial representation and copy distance ( Use the three-dimensional distance between the index fingers of two hands to estimate the length vs The two-dimensional distance displayed on the computer screen )? The influence of task difficulty on spatiotemporal relationship interference is Day10 In the literature . in addition , In the follow-up study of this paper Day13-14 In the literature , The author further expounds the conclusion that spatiotemporal interference is affected by the perceptual acuity of spatial information as being affected by memory noise , That is, the low perceptual sensitivity increases the memory noise, resulting in the reduction of the ability of space to interfere with time .
3、 What you can pay attention to is , All the subjects of the three experiments in this study are women , From the original text, I can't read out whether the subjects of the three experiments are the same group of people ( Respectively 30/22/21 people ).
4、 The relationship between spatiotemporal interference is symmetrical (Day 4 The literature )vs Asymmetry (Day 2/3 The literature ), Previous studies have formed quite different views , This issue needs to be viewed more critically . In the face of previous studies , Today's article introduces a new variable, spatial acuity , Research has a new direction , This kind of thinking and discussion method that is not restricted by the previous paradigm is worth learning .
边栏推荐
- Teacher lihongyi, NTU -- tips for DNN regulation
- Inventory | more than 20 typical security incidents occurred in February, with a loss of nearly $400million
- Method for debugging wireless data packet capturing of Internet of things zigbee3.0 protocol e18-2g4u04b module
- [bitbear story collection] February MVP hero story open source with love
- Is it too troublesome to turn pages manually when you encounter a form? I'll teach you to write a script that shows all the data on one page
- Research Report on development trend and competitive strategy of global seabed leakage detection system industry
- 点云读写(二):读写txt点云(空格分隔 | 逗号分隔)
- astra pro双目相机ros下启动笔记
- Try catch
- A method of relay for ultra long distance wireless transmission of low power wireless module
猜你喜欢

The second bullet of in-depth dialogue with the container service ack distribution: how to build a hybrid cloud unified network plane with the help of hybridnet

volatile的解构| 社区征文

Php+mysql library management system (course design)

CloudCompare源码分析:读取ply文件

Small program startup performance optimization practice

华为设备配置HoVPN

Leetcode must review 20 lintcode (5466421166978227)

5. Xuecheng project Alipay payment

Meetup review how Devops & mlops solve the machine learning dilemma in enterprises?

【Day10 文献泛读】Temporal Cognition Can Affect Spatial Cognition More Than Vice Versa: The Effect of ...
随机推荐
926. flip string to monotonic increment
[JS] 1347- high level usage of localstorage
MATLAB点云处理(二十四):点云中值滤波(pcmedian)
Research Report on development trend and competitive strategy of global wafer recycling and OEM service industry
6. project launch
IEEE floating point mantissa even round - round to double
Summary of personal wrong questions (the wrong questions have not been solved and are used for help)
习题9-1 时间换算 (15 分)
Exercise 8-8 judging palindrome string (20 points)
Meetup回顾|DevOps&MLOps如何在企业中解决机器学习困境?
IEEE-754 floating point converter
Jsonparseexception: unrecognized token 'username': was expecting error when submitting login data
16 | 浮点数和定点数(下):深入理解浮点数到底有什么用?
Research Report on development trend and competitive strategy of global reverse osmosis membrane cleaning agent industry
Brief introduction to integrity
每日一题-1317. 将整数转换为两个无零整数的和
[uniapp native plug-in] shangmi cashbox plug-in
【Day4 文献精读】Space–time interdependence: Evidence against asymmetric mapping between time and space
SDNU_ ACM_ ICPC_ 2022_ Weekly_ Practice_ 1st (supplementary question)
3.3 naming rules of test modules