当前位置:网站首页>It is discussed that the success of Vit lies not in attention. Shiftvit uses the precision of swing transformer to outperform the speed of RESNET
It is discussed that the success of Vit lies not in attention. Shiftvit uses the precision of swing transformer to outperform the speed of RESNET
2022-07-03 20:09:00 【Machine learning community】
Attention mechanism is widely considered to be Vision Transformer(ViT) The key to success , Because it provides a flexible and powerful way to model spatial relationships . However , The attention mechanism is really ViT An integral part of ? Can it be replaced by some other alternatives ? In order to uncover the role of attention mechanism , The author reduces it to a very simple case :ZERO FLOP and ZERO parameter.
To be specific , The author reexamined Shift operation . It does not contain any parameters or arithmetic calculations . The only operation is to exchange a small number of channels between adjacent features . Based on this simple operation , The author constructs a new Backbone, namely ShiftViT, among ViT The attention layer in is shift Operation replaced .
【 notes 】 The communication group is provided at the end of the article
It's amazing ,ShiftViT Worked well on several mainstream tasks , Such as the classification 、 Detection and segmentation . Performance is even better than Swin Transformer Better . These results suggest that , The attention mechanism may not make ViT The key to success . It can even be replaced by an operation with zero parameters . In the future work , We should pay more attention to ViT The rest of .
1 brief introduction
Backbone The design of plays an important role in computer vision . since AlexNet Since the revolutionary progress of , Convolutional neural networks (CNNs) Has dominated this neighborhood near 10 year . However , Current ViTs The challenge has shown its potential .ViT The advantage of is first proved in the task of image classification , In this task ,ViT Of Backbone Significantly better than CNN Of Backbone. because ViT Excellent performance makes ,ViT The variants of are booming and rapidly applied to many other computer vision tasks , Such as target detection 、 Semantic segmentation and action recognition .
Although recently ViT The performance of the variant is impressive , But it is still unclear what makes ViT Conducive to visual tasks . Some jobs tend to attribute success to attention mechanisms , Because it provides a flexible and powerful way to model spatial relationships . say concretely , The attention mechanism uses the self attention matrix to gather features from any location . And CNN Compared with the convolution operation in , It has two significant advantages . First , This mechanism provides the possibility to capture both short-term and long-term dependencies , And get rid of the local limitation of convolution . secondly , The interaction between two spatial locations dynamically depends on their respective characteristics , Instead of a fixed convolution kernel . Because of these excellent characteristics , Some works believe that attention mechanism contributes to ViT Strong expression skills .
However , Are these two advantages really the key to success ? The answer may not be . Some existing work proves , Even without these properties ,ViT Variants still work well . For the first , Global dependencies may not be inevitable . More and more ViT A local attention mechanism is introduced , Limit their attention to a small local area , Such as Swin-Transformer and Local ViT. Experimental results show that , The performance of the system does not degrade due to local constraints . Besides , Another study explores the need for dynamic aggregation .MLP-Mixer A linear projection layer is proposed to replace the attention layer , The linear weight is not dynamically generated . under these circumstances , It can still be in ImageNet Leading performance on datasets .
Since the global and dynamic characteristics may affect ViT The framework is not important , that ViT What is the root cause of success ? In order to solve the problem , The author further simplifies the attention layer into a very simple case : No global scope , There's no movement , even to the extent that No parameters , No, Arithmetic calculation . The author wants to know ViT Whether good performance can be maintained in this extreme case .

chart 1
conceptually , This zero parameter alternative must rely on hand-made rules to model spatial relationships . In this work , Re discussing Shift operation , The author believes that this is one of the simplest spatial modeling modules . Pictured 1 Shown , The standard ViT Building blocks include 2 Parts of : Attentional layer and Feedforward networks (FFN).
The author uses Shift Operation replaces the previous attention layer , While maintaining the latter FFN Partial invariance . Given an input characteristic , The proposed building blocks will first follow 4 Move a small part of the channel in one spatial direction , Left 、 Right 、 Up and down . therefore , The information of adjacent features is transmitted by the channel Shift Mix it up . then , And then FFN Conduct channel mixing , To further fuse information from adjacent channels .
Based on this shift building block Built a similar ViT Of Backbone, namely ShiftViT. It's amazing , This Backbone It can also be well used in mainstream visual recognition tasks . Performance and Swin Transformer Quite a , Even better . To be specific , With the Swin-T Within the same calculation budget of the model ,ShiftViT stay ImageNet Reached on dataset 81.7%( be relative to Swin-T Of 81.3%). For intensive forecasting tasks , stay COCO Average accuracy on test data set (mAP) by 45.7%(Swin-T Of 43.7%), stay ADE20k Average accuracy on split data sets (mIoU) by 46.3%(Swin-T Of 44.5%).
because Shift The operation is already the simplest spatial modeling module , Therefore, excellent performance must come from the remaining components , Such as FFN Linear layer and activation function in . These components are less studied in the existing work , Because they look insignificant . However , To further uncover ViT The mysterious veil of the reason for work , The author believes that more attention should be paid to these components , Instead of just focusing on attention mechanisms .
in summary , The contribution of this work has two aspects :
Put forward a similar ViT Of Backbone, The ordinary attention layer is a very simple Shift Operation replaced . The model can obtain better results than Swin Transformer Better performance
Analysis of the ViT The reasons behind success . This suggests that the attention mechanism may not make ViT Key elements of work . In the future ViT under advisement , The rest of the components should be taken seriously
2 Related work
2.1 Attention and Vision Transformers
Transformer It was first introduced into natural language processing (NLP) field . It only uses the attention mechanism to establish different languages Token The connection between . Because of the excellent performance ,Transformer Has quickly dominated NLP field , And become the de facto standard .
Inspired by the successful application of natural language processing , Attention mechanism has also attracted more and more interest in computer vision . Early exploration can be roughly divided into two categories . One side , Some literatures believe that attention is a plug and play module , It can be seamlessly integrated into existing CNN Architecture . Representative work includes non-local The Internet 、Relation The Internet and CCNet. On the other hand , The goal of some work is to replace all convolution operations with attention mechanism , Such as Local Relation The Internet and Self-Attention.
Although these two kinds of work have shown promising results , But they are still based on CNN Based on the architecture .ViT Is the use of pure Transformer Architecture for the pioneering work of visual recognition tasks . Because of its impressive performance , Recently, there has been a rising wave of research on vision in this field Transformer A wave of research .
Along this research direction , The main research focus is to improve the attention mechanism , So that it can meet the internal characteristics of visual signals . for example ,MSViT Construct a hierarchical attention layer to obtain multi-scale features .Swin-Transformer A local constraint is introduced into its attention mechanism . Related work also includes pyramid attention、local-global attention、cross attention wait .
Different from the special interest in the mechanism of attention ,ViT Less research has been done on the remaining components of .DeiT For vision Transformer Established a standard training pipeline . Most subsequent work has inherited its configuration , Only some modifications have been made to the attention mechanism . The work of this paper also follows this paradigm . However , The purpose of this work is not to design complex attention . contrary , The purpose of this paper is to show , The attention mechanism may not make ViTs The key part of the work . It can even be a very simple Shift Operation replaced . The authors hope that these results will inspire researchers to rethink the role of attention mechanism .
2.2 MLP Variants
The work of this paper is related to the recent multilayer perceptron (MLP) Variants are related to . say concretely ,MLP The variant is proposed through a pure similar MLP To extract image features . Out of the way ViT Attention based framework in . for example ,MLP-Mixer Introduced a Token blend MLP, To directly connect all spatial locations . It eliminated. ViT The dynamic characteristics of , But without losing accuracy . Follow up work has studied more MLP Design , Such as space door control unit or circular connection .
ShiftViT It can also be classified as pure MLP framework , among Shift Operation is regarded as a special Token Mixed layer . With the existing MLP Work comparison ,Shift Easier to operate , Because it doesn't contain parameters , either FLOP. Besides , Because it has a fixed linear weight , ordinary MLP Variants cannot handle variable input sizes .Shift The operation overcomes this obstacle , So make Backbone For more visual tasks , Such as target detection and semantic segmentation .
2.3 Shift Operation
Shift Operation is nothing new in computer vision . As early as 2017 year , It is considered to be an effective alternative to spatial convolution . To be specific , It uses a sandwich like architecture ,2 individual 1×1 Convolution and a Shift operation , To approximate a K×K Convolution . In the follow-up ,Shift The operation is further extended to different variants , Such as active Shift、sparse Shift and partial Shift.
3Shift-ViT
3.1 Architecture Overview
For a fair comparison , The author followed Swin Transformer Architecture of . An overview of the architecture is shown in Figure 2(a).

chart 2(a)
In particular , Given a shape as H×W×3 The input image of , It first divides the image into non overlapping images patches.patch-size by 4×4 Pixels . therefore ,patch partition The output value of is H/4×W/4 token, Each of them token The channel size of is 48.
The following modules can be divided into 4 Stages . Each stage includes 2 Parts of : Embedded generation and The stack shift block . For the first stage of embedding generation , Use a linear projection layer to place each token Map to a channel with a size of c Embedding of . For the rest of the stage , The size of the passing nucleus is 2×2 To merge adjacent patch.patch After the merger , The size of the output space is half that of the down sampling , The channel size is input 2 times , From C To 2C.
Stacked shift Blocks are made up of repeated basic units . Every shift The detailed design of the block is shown in the figure 2(b). It is shown that it consists of shift operation 、 Layer standardization and MLP Network composition . This design is almost identical to the standard Transformer Same block . The only difference is , It USES one shift operation , Not a layer of attention . For each stage ,shift The number of blocks can be different , Write them down as 、、、. stay out In the implementation , Carefully selected values , So that the whole model and Baseline Swin Transformer Models share a similar number of parameters .
3.2 Shift Block
Shift Block The detailed architecture of is shown in the figure 2(b).

chart 2(b)
In particular , The block consists of 3 A sequence of stacked components :Shift operation 、 Layer normalization and MLP The Internet .
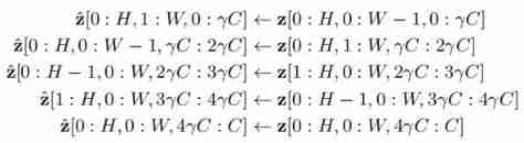
Shift Operation in cnn Has been well studied in . It can have many design options , Such as active Shift and sparse Shift. Follow... In this work TSM Medium partial Shift operation . Pictured 1(b) Shown . Given an input tensor , A small part of the passage will follow the... Of the space 4 Move in one direction , Left 、 Right 、 On 、 Next , The remaining channels remain unchanged . stay Shift after , Out of range pixels are simply deleted , Blank pixels are filled with zero . In this work ,Shift The step size is set to 1 Pixels .
Formally , Assume that the input characteristics z The shape of is H×W×C, among C Is the number of channels ,H and W Space height and width respectively . output characteristic z Has the same shape as the input feature . It can be written as :

among γ Is a ratio factor to control the percentage of channels . In most experiments ,γ The value of is set to 1/12.

Pytorch Realization
It is worth noting that ,Shift The operation does not contain any parameters or arithmetic calculations . The only implementation is memory replication . therefore ,Shift High operating efficiency , Easy to implement . The pseudo code is in the algorithm 1 It is proposed that . Compared with the self attention mechanism ,Shift Operation of TensorRT Wait for deep learning to make the inference base cleaner 、 Clean and tidy 、 More friendly .
Shift The rest of the block is related to ViT The standard building blocks are the same .MLP The Internet has 2 A linear layer . The first method increases the channel of input features to a higher dimension , for example , from C To τC. then , The first 2 A linear layer projects high-dimensional features onto c In the original channel size of . Between these two floors , use GELU As a nonlinear activation function .
3.3 Architecture variants
In order to Baseline Swin Transformer Compare , The author also constructed several models with different quantity parameters and computational complexity . say concretely , Introduced Shift-T(iny)、Shift-S(mall)、Shift-B(ase) variant , Corresponding to swin-t、swin-s and swin-b.Shift-T The smallest is the smallest , It is associated with Swin-T and ResNet-50 They are similar in size . The other two variants ,Shift-S and Shift-B, About than shiftvit complex 2 Times and 4 times . Basic embedded channel C Detailed configuration and number of blocks {} as follows :

In addition to the model size , The author also carefully observed the depth of the model . In the proposed model , Almost all parameters focus on MLP part . therefore , Can be controlled MLP τ To get deeper network depth . If not specified , Then expand the ratio τ Set to 2. Ablation analysis shows that , Deeper models get better performance .
4 Realization
4.1 Ablation Experiment
1、Expand ratio of MLP
Previous experiments have proved the design principle of this paper , That is, the large model depth can make up for the deficiency of each component . Usually , There is a trade-off between the depth of the model and the complexity of the building blocks . With a fixed calculation budget , Lightweight building blocks can enjoy a deeper network work Architecture .

surface 5
To further study this trade-off , The author provides some with different depths ShiftViT Model . about ShiftViT, Most parameters exist in MLP part . The author can change MLP τ To control the depth of the model . As shown in the table 5 Shown , choice Shift-T As a baseline model . Studied in 1 To 4 Expansion ratio in the range τ. It is worth noting that , Parameters and of different entries FLOPs It's almost the same .
From the table 5 in , A trend can be observed , That is, the deeper the model , The better the performance . When ShiftViT Increase the depth of to 225 when , In the classification 、 Detection and segmentation are better than 57 Classification of layers 、 The absolute gain of detection and segmentation is improved 0.5%、1.2% and 2.9%. This trend supports the conjecture , That is, powerful and heavy modules , Such as attention, Maybe not Backbone The best choice .
2、Percentage of shifted channels
Shift The operation has only one super parameter , That is, the percentage of shifted channels . By default , Set to 33%. Some other settings are discussed in this section . say concretely , Set the scale of the mobile channel to 20%、25%、33% and 50%. The result is shown in Fig. 3 Shown . This indicates that the final performance is not very sensitive to this super parameter . Compared with the best setting , Move 25% The channel will only lead to 0.3% The absolute loss of . To the reasonable extent (25%-50%), All settings are better than Swin-T Baseline Better accuracy .
3、Shifted pixels
stay Shift In operation , A small part of the passage is along 4 Move one pixel in one direction . For a comprehensive exploration , Also tried different moving pixels . When the offset pixel is 0, That is, when there is no offset ,ImageNet Data sets Top-1 The accuracy is only 72.9%, Obviously lower than that of this paper Baseline(81.7%). That's not surprising , Because no movement means that there is no interaction between different spatial positions . Besides , If in shift Move two pixels in operation , Model in ImageNet Up to 80.2% Of top-1 precision , This is also slightly worse than the default setting .
4、ViT-style training scheme
Shift Operation in cnn Has been well studied in . However , Previous work has not been as impressive as this one .Shift-ResNet-50 stay ImageNet The accuracy is only 75.6%, Far below 81.7% The accuracy of . This gap raises a natural concern , That is, what is right ViT Advantageous .
The author suspects that the reason may be the virtual reality training program . say concretely , Most of the existing ViT Variants follow DeiT Settings in , This is related to training cnn The standard pipes are very different . for example ,ViT-style The scheme adopts AdamW Optimizer , stay ImageNet The training duration is 300 epoch. by comparison ,cnn Style schemes tend to SGD Optimizer , Training programs usually have only 90 epoch. Because the model in this paper inherits ViT-style Training program , It's interesting to see how these differences affect performance .

surface 6
Due to resource constraints , Cannot fully align between all settings ViT-style and CNN-style. therefore , I chose 4 An important factor that can bring enlightenment , The optimizer 、 Activation function 、 Standardization layer and training plan . From the table 6 It can be seen that , These factors can significantly affect accuracy , Especially the training progress . These results suggest that ,ShiftViT Good performance is partly due to ViT-style The training program brings . Again ,ViT Your success may also be related to your special training program . In the future ViT This problem should be taken seriously in research .
4.2 ImageNet and COCO

surface 2
in general , The method in this paper can achieve performance comparable to the most advanced technology . Based on ViT And based on mlp Methods , Its best performance is about 83.5%, The model in this paper achieves 83.3% The accuracy of the . Based on CNN Methods , The model in this paper is slightly worse than, but the comparison is not completely fair , because EfficientNet Use a larger input size .
Another interesting thing is with 2 A job S^2-MLP and AS-MLP. The work of these two parts is moving Shift Similar ideas in operation , But they introduce some auxiliary modules into the building blocks , For example, pre projection layer and post projection layer . In the table 2 in , The performance of this paper is slightly better than these two works . This proves that the design choice , Just use a simple Shift The operation can be well built Backbone.

image
In addition to sorting tasks , Similar performance trajectories can also be observed in target detection tasks and semantic segmentation tasks . It is worth noting that , Some are based on ViT And based on mlp The method is not easy to extend to such intensive prediction tasks , Because high-resolution input creates an unbearable computational burden . because Shift High efficiency of operation , There is no such obstacle in the method of this paper .

surface 3

surface 4
As shown in the table 3 And table 4 Shown ,ShiftViT The advantages are obvious .ShiftT On target detection mAP The score is 47.1 branch , On semantic segmentation mIoU The score is 47.8 branch , Obviously better than other methods .
Technical communication
At present, a technical exchange group has been opened , Group friends have exceeded 1000 people , The best way to add notes is : source + Interest direction , Easy to find like-minded friends
- The way ①、 Send the following picture to wechat , Long press recognition , The background to reply : Add group ;
- The way ②、 WeChat search official account : Machine learning community , The background to reply : Add group ;
- The way ③、 You can add micro signals directly :mlc2060. Make a remark when adding : Research direction + School / company +CSDN, that will do . Then we can pull you into the group .

边栏推荐
- Global and Chinese market of electrolyte analyzers 2022-2028: Research Report on technology, participants, trends, market size and share
- 2.3 other data types
- PR 2021 quick start tutorial, material import and management
- PR notes:
- Global and Chinese markets for medical temperature sensors 2022-2028: Research Report on technology, participants, trends, market size and share
- 2022 Xinjiang latest road transportation safety officer simulation examination questions and answers
- 2. Template syntax
- Kubernetes cluster builds efk log collection platform
- 6006. Take out the minimum number of magic beans
- BOC protected amino acid porphyrins TAPP ala BOC, TAPP Phe BOC, TAPP Trp BOC, Zn · TAPP ala BOC, Zn · TAPP Phe BOC, Zn · TAPP Trp BOC Qiyue
猜你喜欢

An old programmer gave it to college students

2022-06-27 网工进阶(十二)IS-IS-开销类型、开销计算、LSP的处理机制、路由撤销、路由渗透

2.3 other data types

2022-06-30 網工進階(十四)路由策略-匹配工具【ACL、IP-Prefix List】、策略工具【Filter-Policy】

2.7 format output of values

PR 2021 quick start tutorial, how to create a new sequence and set parameters?

2022-07-02 advanced network engineering (XV) routing policy - route policy feature, policy based routing, MQC (modular QoS command line)

Network security Kali penetration learning how to get started with web penetration how to scan based on nmap

Sparse matrix (triple) creation, transpose, traversal, addition, subtraction, multiplication. C implementation

Part 28 supplement (XXVIII) busyindicator (waiting for elements)
随机推荐
Global and Chinese markets of active matrix LCD 2022-2028: Research Report on technology, participants, trends, market size and share
Acquisition and transmission of parameters in automatic testing of JMeter interface
Bright purple crystal meso tetra (4-aminophenyl) porphyrin tapp/tapppt/tappco/tappcd/tappzn/tapppd/tappcu/tappni/tappfe/tappmn metal complex - supplied by Qiyue
Typora charges, WTF? Still need support
7. Data broker presentation
4. Data binding
Chapter 2: find the classical solution of the maximum Convention and the least common multiple of a and B, find the conventional solution of the maximum Convention and the least common multiple of a a
Make a simple text logo with DW
2022-06-27 advanced network engineering (XII) IS-IS overhead type, overhead calculation, LSP processing mechanism, route revocation, route penetration
PR FAQ: how to set PR vertical screen sequence?
Microsoft: the 12th generation core processor needs to be upgraded to win11 to give full play to its maximum performance
Geek Daily: the system of monitoring employees' turnover intention has been deeply convinced off the shelves; The meta universe app of wechat and QQ was actively removed from the shelves; IntelliJ pla
Micro service knowledge sorting - three pieces of micro Service Technology
Basic command of IP address configuration ---ip V4
Plan for the first half of 2022 -- pass the PMP Exam
The 29th day of force deduction (DP topic)
Kubernetes cluster builds efk log collection platform
Assign the CMD command execution result to a variable
2. Template syntax
Global and Chinese market of high temperature Silver sintering paste 2022-2028: Research Report on technology, participants, trends, market size and share